20260208
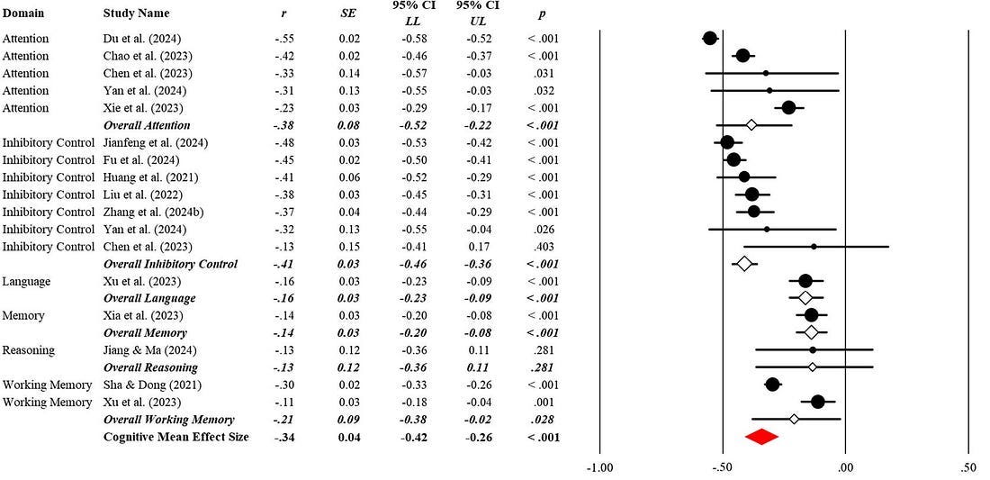
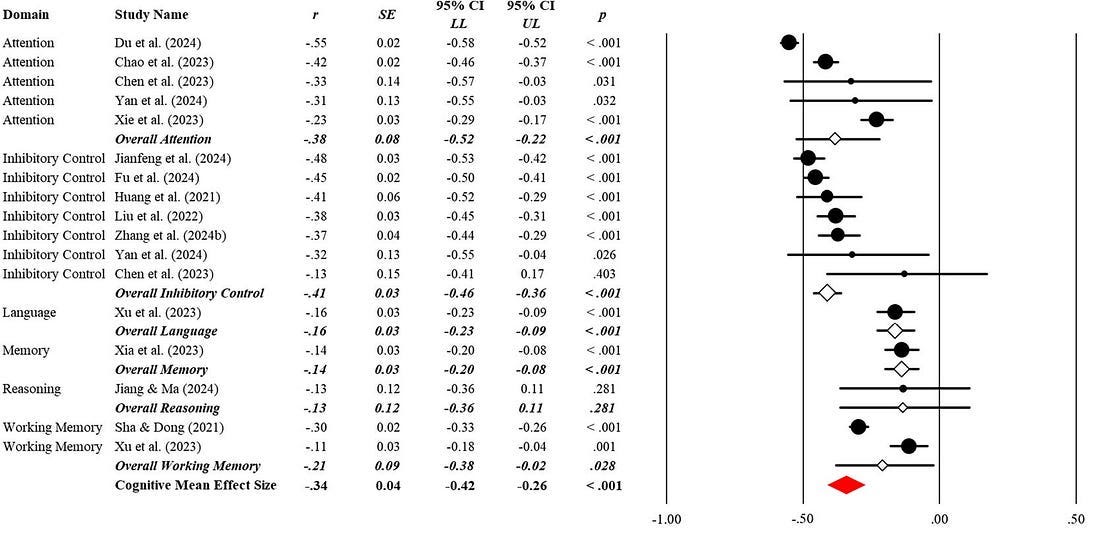
A systematic review of 71 studies with 98,000 participants published in 2025 reached an alarming finding. Across the dozens of studies, heavy short-form video users showed moderate deficits in attention, inhibitory control, and memory. In the chart below, you can see a consistently negative, if also heterogeneous, relationship between heavy short-form video use and problems with attention, memory, and control. ..
People: Short videos and mental health (PDF). A take on Venezuela. Critical ignoring as a skill. When dancing stopped. Snail mail revival.
Merry pranksters.Business: Workplace of the future. Jobseeking through dating apps. “Are you dead” app. Hotel room on the moon. Luxury in games.
Tech: Post American internet. Insect protein. Starlink in Iran.
Planet: Phagotherapy. Polycrisis and Dark VUCA.
Futures: Deep futures project. How to be farseeing as a company. Not somewhere else.
AI: Restaurants and automation. Environment. Collective intelligence.

Swiping for Connections: A Jobseeker’s Journey Through Love and Chaos
In a world where finding a job demanded more artifice than attending a Renaissance fair dressed as a peacock, Alex decided to explore a less conventional avenue: dating apps. After all, if swiping right could ignite the spark of romance, why not the spark of a new career? ResumeBuilder.com had reported that one in three users were turning their “match” choices into networking opportunities. Perhaps “Looking for a date” should be amended to “Looking for a full-time gig with benefits”^1.
Alex crafted the perfect profile: “Adventurous spirit seeking meaningful connections—open to either love or lucrative gigs.” Sparking interest, Alex found themselves swiftly inundated with matches, both romantic and professional, alongside the occasional confused “So, what do you do?” Which, of course, was a question that belonged on a personal profile rather than a suite of interview questions—life was absurd enough without tossing social norms into the rubbish bin^2.
In the midst of this fateful quest, news broke out about phage therapy—the buzz from the medical community was that it was making a dramatic return due to multi-drug resistant bacteria^3. Somehow, the infectious fervor of medical innovation intertwined with Alex’s desire for career stabilization. Why not snag a position at a biotech firm promising a comeback for bacterial enemies? But before embarking on that journey, Alex found an unexpected connection on their new favorite app—“Are You Dead?”^4. The app’s bittersweet name aside, the check-in feature resonated; so many people were feeling isolated, and this app carved a digital lifeline, without which Alex often felt they would vanish like a mist.
“I’m alive. Still hunting jobs,” they casually typed, deciding to humor the idea of merging life with the ticking clock of opportunity.
One evening, amid swipes and scrolls, news of U.S. intervention in Latin America flashed across the feed, reminding Alex of the chaotic stove of geopolitics simmering underneath the surface^5. Jobs weren’t just numbers; they involved lives—and who could take the precarious position of selling one’s soul to the corporate machine while the world burned around them? With his thumb poised, Alex pondered if job-hunting wasn’t just finding hot leads but instead a kind of ethically fraught scavenger hunt amidst the wreckage of society.
Inspirations struck as a notification from a luxury brand collaboration in The Sims pinged—“Coach unveils digital avatars for Gen Z, bridging gaming and high fashion!”^6 It dawned on Alex that employment now mingled with virtual realities, where one’s persona could walk the digital runway of pro choices and simulacra. Game on, they thought, as the lines blurred, everyone was literally playing for keeps.
And in this strange zeitgeist spent swiping, slipping, and scouting, Alex stumbled upon a small mail club promoting snail mail—a tactile moment in the digital deluge, cultivating communion amid cluttered feeds. Addressing envelopes felt almost subversive—akin to rekindling both ancient practices in modern hustle—each letter a digital escape into the slow lane of personal connection^7.
The irony was delicious; in seeking a job, Alex unearthed a pathway that could link health science, global policy, digital audacity, and the age of heartfelt letters. Perhaps the future of work was not in an applicant’s profile but in the connections made—across the chasms of trust, nostalgia, and the fiscal abyss we called a job market.
What began as a quest for employment morphed into an expedition of humanity’s multiplicities—turns out, the best networking event was a dating app, a letter, and a sprinkle of hope amidst phage therapy and political chaos. Indeed, every swipe, check-in, and carefully crafted letter became a signal flare amidst the widespread polycrisis, illuminating paths unseen, reminding them that forging connections, no matter how absurd, might just map the trajectory of their future^8.
-----------------------------------------
^1 Acknowledge: Love at first swipe might just lead to a five-step application for a job!
^2 Abandon all corporate ladders; it’s a romantic menagerie now!
^3 Perhaps the only bacterial resistance we should be really concerned about in this day and age is our own?
^4 Oddly comforting, like checking if your cat still hasn’t staged its own rebellion.
^5 When job leads feel like geopolitical maneuvers, it’s time to grab a pint and laugh about it.
^6 Who knew that avatars in virtual worlds would be the new influencers in the corporate arena?
^7 Such a simple, yet profound, reminder that meaningful messages can transcend the noise.
^8 Spoiler alert: The key to success may involve unorthodox methods and a dash of whimsy.

